Flow Battery Research Collective
Flow Battery Research Collective
Utrecht University/FAIR Battery Project
Utrecht University/FAIR Battery Project
October 16, 2024
A brand-new community of researchers, energy storage users, and enthusiasts who want to help develop and democratize technologies for affordable, sustainable energy storage
We are trying to build an open-source battery for storing solar and wind energy.
Open-source hardware1: no patents, no licensing fees, free for commercial use
Cooperative, not competitive: trying to establish global community of contributors (eventually, users)
Low barriers to entry = more iterations, with more brainpower, for lower cost
(vs. a closed-source, private enterprise)
Open-source provides valuable economic benefits, or, it takes money + time to reinvent the wheel
French academia:
LAAS-CNRS lab creates open-source power electronics, commercializes them with open-source hardware company OwnTech (OwnTech Foundation [2024])
L’objectif est de “développer globalement et fabriquer localement”
Ampère laboratory at INSA Lyon: embedded motor control, lead-acid charge controllers
Globally:
Recyclable photovoltaic panels: https://www.biosphere.solar/
Locally buildable small wind turbines: https://windempowerment.org/research-and-devlopment/small-wind-systems/the-piggott-turbine/, https://www.openafpm.net/
Potentiostat/galvanostat: Irving et al. [2021]
Why not a battery?
A qualitative, non-peer-reviewed comparison - assuming all technologies were manufactured at the same economies of scale
Distribution of large-scale battery storage installations in the United States as of 2022, by chemical composition
(https://www.statista.com/statistics/1135383/battery-storage-installations-power-capacity-chemistry/)
Exploded view of the a prior cell design
2,520 EUR/m2 vs. 6 EUR/m2 (Ion Power GmbH and Amazon UK)
1,477 EUR/m2 vs. 66 EUR/m2 (FuelCellStore and Amazon US)
We use buffers to mitigate the effects of ambient oxygen
More info on the workshop and cell design here: https://fbrc.dev/posts/Flow4U-conference/
Our initial chemistry is zinc-iodide, but we plan to explore more varieties.
Negative Terminal (Anode): \(\ce{3Zn_{(s)} -> 3 Zn^2+ + 6e-}\)
Positive Terminal (Cathode): \(\ce{2I3- + 6e- -> 6I- }\)
Overall: \(\ce{3Zn_{(s)} + 2I3- -> 3Zn^2+ + 6I-}, E^\ominus = 1.298 V\)
Parasitic reaction: \(\ce{6I- + O2 + 2 H2O -> 2I3- + 4OH- }\)
Existing literature: [Weng et al. 2017; Xie et al. 2018; Chakraborty et al. 2021]
Easy to source, low-cost reagents (vs. vanadium, for example)
Compatible with cheap microporous membranes, such as paper
Resistant to dendrites
No detectable hydrogen evolution (unlike all-iron systems)
Acceptable energy density (>20Wh/L)
No strong acids or bases needed
Low toxicity (but don’t drink it!)
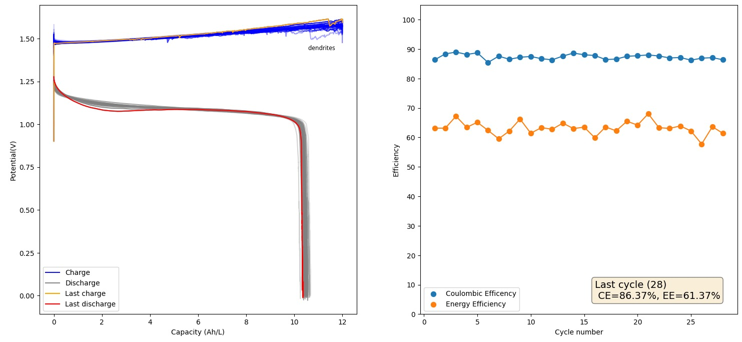
1 m \(\ce{ZnCl2}\), 2 m \(\ce{KI}\), \(\ce{KAc}\) buffer, 5 mL each side, photopaper separator, 30 mA/cm², 100 mAh/cm², over 5 days
1 m \(\ce{ZnCl2}\), 2 m \(\ce{KI}\), \(\ce{KAc}\) buffer, 5 mL each side, photopaper separator, 30 mA/cm², 120 mAh/cm², same cell from last test, 6 days (11 total)
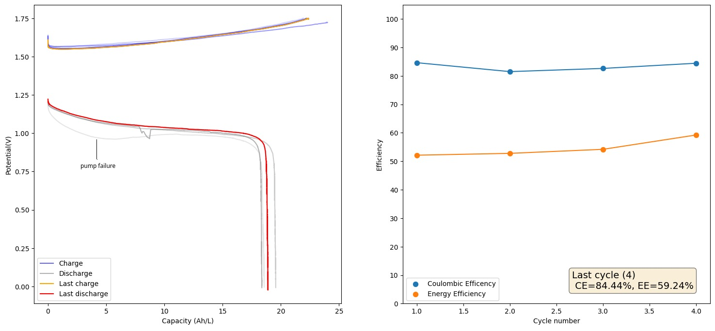
2 m \(\ce{ZnCl2}\), 4 m \(\ce{KI}\), \(\ce{KAc}\) buffer, 5 mL each side, photopaper separator, 30 mA/cm², 120 mAh/cm²
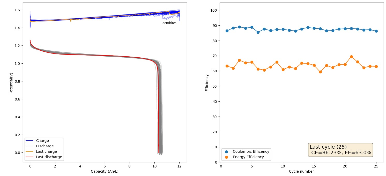
2 m \(\ce{ZnCl2}\), 4 m \(\ce{KI}\), 2m \(\ce{NH4Cl}\), 5 mL each side, Daramic AA-900 separator, nonconductive felt for Zn, 30 mA/cm², 300 mAh/cm²

Journée d’Automne du GDR Redox Flow, Amiens, 16-17 Octobre 2024